网站图标 精彩的工程

这21个GIF将在不到2分钟内教您一些复杂的数学概念

通过GIFS解释的数学概念特征

现在该回到学校并再次居住在您的无聊书中了,对吗?他们不必那么无聊,还是一定是这样?数学是大多数学生恐惧的主题,这是出于明显的原因。因此,我们已经编制了21个GIF的列表,这些GIF可以解释数学概念,以帮助您在学习它们时可视化它们。祝你好运,让我们知道结果如何!

21.椭圆

20.解决帕斯卡三角形

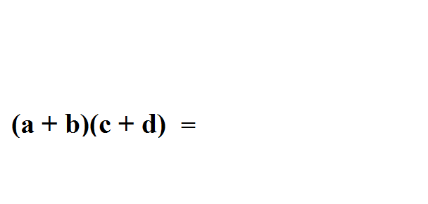
19.使用箔轻松繁殖二项式

18.这是您解决对数的方式

17.使用此技巧,这样做矩阵换位时就不会混杂

16.毕达哥拉斯定理真正试图向您展示什么

15.多边形的外部角度始终总计360度

14.如果您正在学习触发器,最好对圆圈感到非常满意。查看此可视化,该可视化显示您在处理PI时真正看的内容

13.如果一个圆的弧与半径相同,则结果角度为一个弧度

12.在Y轴上可视化正弦(红色),X轴上的余弦(蓝色)。圆的相对位置以黑色显示

11.这显示了同一件事,但更简单

10.以下是正弦和余弦如何适用于三角形的

9.余弦是正弦的衍生物

8.切线

7.在其侧面翻转,形状开始变得更有意义

6.将功能从笛卡尔转换为极坐标

5.绘制抛物线

4. Riemann和是曲线下的大约面积

3.双曲线

2.将其转换为3D,您会得到一个倍曲面。信不信由你,它是用完全直线制成的

1.认真。你甚至可以做到这一点